首页 > 互联网 > 肖增军书画作品欣赏

肖增军书画作品欣赏

更多精彩内容请关注上面的蓝字

永远的梅田





肖增军简介

      出生于广东茂名,笔名艺杰,号艺术浪子。毕业于北京师范大学广告装潢设计专业,中国书画国际大学书法专业。原任广州机电中专美术教师,广州南方中英文学校中学美术教师,现从事教育管理工作。系中国书法家美术家协会会员、中国工艺美术家协会会员、广东省书法家协会会员、广东省乐昌市书法协会会员、广东省乐昌市美术协会会员。作品多次发表在《中国书画报》、《书法报》、《中国书画文化报》、《书画市场报》等多家媒体。曾多次参加市、省、全国及国际书画展赛获奖、展出、收藏等。作品曾在北京、哈尔滨、上海、郑州、广州、深圳、香港、台北等多个城市展出,及被送到俄罗斯、韩国、日本、泰国、新加坡、法国、澳大利亚等国展出。传略及作品已入编《世界当代书画篆刻家大辞典》、《中国当代艺术界名人录》、《中国美术选集》、《跨世纪中国书画篆刻名家精品大典》、《中国书画名家选》、《辉煌盛典-当代具有影响力的艺术家》、《当代中国文艺家大辞典》、《中国书画名家名作收藏大典》等几十部辞书。


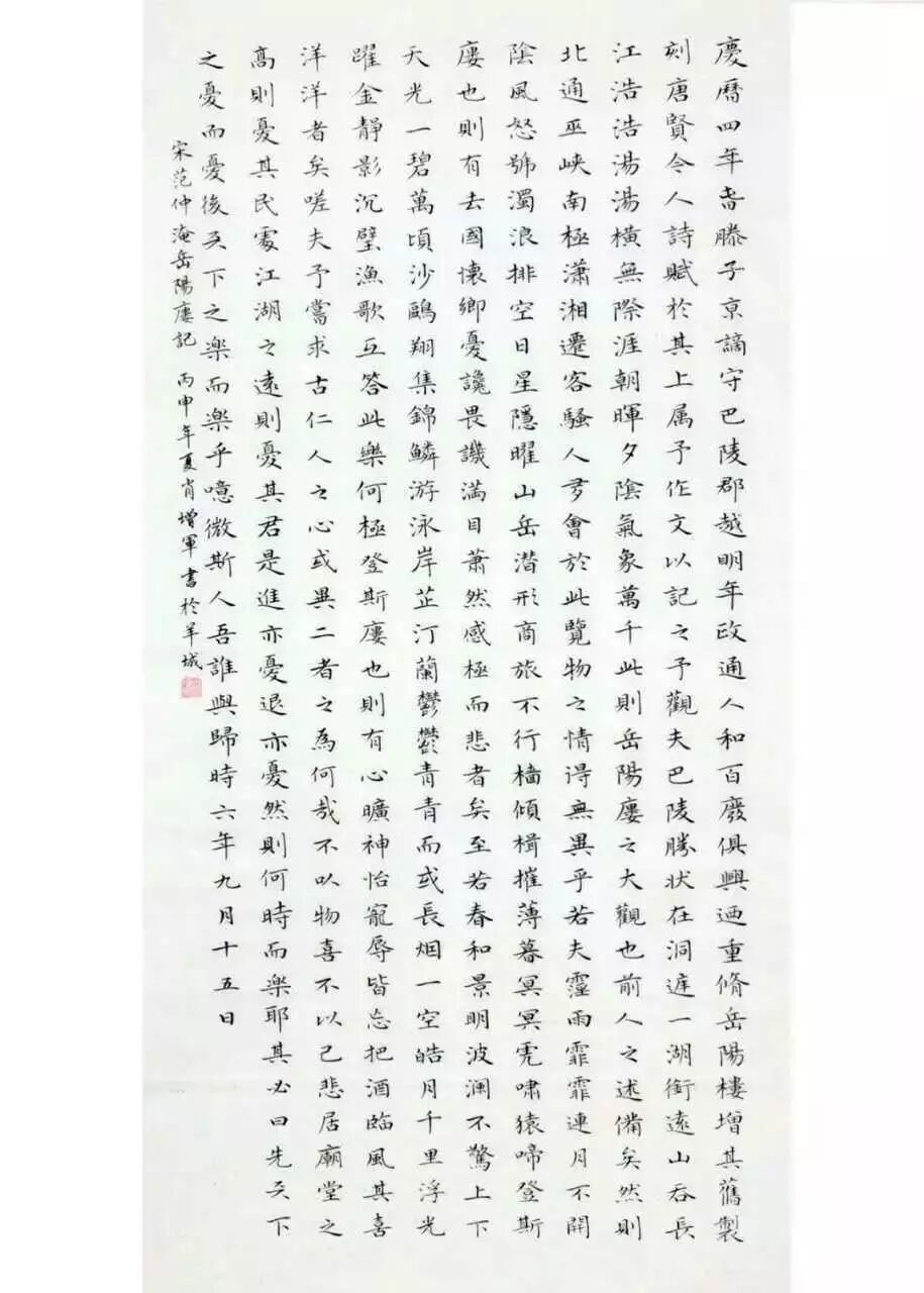
肖增军书画作品欣赏



  

    






文中部分图片来自网络,感谢原作者的分享,如有侵权请原作者联系删除。


征稿启事:请点下面链接

最美矿山老照片开始征集啦


如何给公众号投稿

    1.投稿方式:

     A.最佳方式将图文(分开,无须编辑)发邮箱75340202@qq.com,或加我Q直接发文件。

     B.或关注公众号直接发信息公众号。或加微信75340202发。

2. 稿费问题:本公众号为个人号,无收入,纯为广大梅局朋友服务故无稿费。

3. 原创问题:公众号支持原创文章。投稿时请注明是否原创,但请注意,一旦原创,不可在其他各种媒体公开发表。

  重温过去,分享快乐,留住感动! 这是一个让远离梅田的梅田人怀念、惦念梅田的网上交流家园!

更多精彩内容请长按左边

二维码识别关注

永远的梅田

您的关注,我们的动力!


本公众号问题答疑请点链接:


公众号问答




友情链接